[新しいコレクション] ¯F 7g[ Â 240984-F 7 graphed
Given f (x) = 3x 2 – x 4, find the simplified form of the following expression, and evaluate at h = 0 This isn't really a functionsoperations question, but something like this often arises in the functionsoperations context This looks much worse thanUploaded By ElderMonkeyPerson278 Pages 76 This preview shows page 40 49 out of 76 pagesThird generation export version F7;
Pls Give Simple Steps I If F X X F 7 And G X X A 7 X Maths Vector Algebra Meritnation Com
F 7 graphed
F 7 graphed-Start studying 1=a 2=b 3=c 4=d 5=e 6=f 7=g 8=h 9=i 10=j 11=k 12=l 13=m 14=n 15=o 16=p 17=q 18=r 19=s =t 21=u 22=v 23=w 24=x 25=y 26=z Learn vocabulary, terms, and more with flashcards, games, and other study toolsFor f(x) = x2 7 and g(x)= x4, find the following composite functions and state the domain of each (a) fog (b) gof (c) fof (d) gog (B) (fog)(x) = (Simplify your answer) Select the correct choice below and fill in any answer boxes within your choice O A The domain of fog is {x} (Type an inequality Simplify your answer



Appendix To The Journals Of The Senate And Assembly Of The Session Of The Legislature Of The State Of California 5 Lt A Js A 2 J3 To J3
Until now, given a function f(x), you would plug a number or another variable in for xYou could even get fancy and plug in an entire expression for xFor example, given f(x) = 2x 3, you could find f(y 2 – 1) by plugging y 2 – 1 in for x to get f(y 2 – 1) = 2(y 2 – 1) 3 = 2y 2 – 2 3 = 2y 2 1 In function composition, you're plugging entire functions in for the xOct 13, 08 · f/7 = g g = f/7 0 0 Anonymous 1 decade ago to solve for g you would divide both sides by 7 because when you do the equation looks like this f/7=7g/7 so when the 7s cancel out you get f/7=g 0 0 John T 1 decade ago divide by 7 on both sides f/7=g 0 0 How do you think about the answers?F7PG production version of J7PG, with a single piece windscreen replaced the 3piece of J7PG First batch of were delivered at the end of 01, with a total of 57 eventually delivered to PAF J/F7G series Portside view of a Sri Lanka F7GS Starboard side view of the same Sri Lanka F
Answered by a verified Math Tutor or Teacher We use cookies to give you the best possible experience on our website By continuing to use this site you consent to the use of cookies on your device as described in our cookie policy unless you have disabled themMar 23, 19 · Roberto Saracco fell in love with technology and its implications long time ago His background is in math and computer science Until April 17 he led the EIT Digital Italian Node and then was head of the Industrial Doctoral School of EIT Digital up to September 18GANA UNA PS5 O UNA SERIES X https//gleamio/PHGK3/sorteo5ps5y5xboxseriesxTatuador (Uve) https//wwwinstagramcom/u__v__e/Suscriptor (Jesús) https
Set of Black Housing Amber Corner HeadlightsBumperCorner Lamps Replacement for Ford F150 F250 F350 Bronco 9296 37 out of 5 stars 138 Black Housing Amber Reflector $ $ FREE Shipping Replacement for Yukon/Suburban/Tahoe GMT 800 Pair of Black Housing Smoked Lens LED Brake Tail LightsF(g(x)) = f(x2) = (2(x2))/(x23) = (2x4)/(x5) If you need help understanding math so you can solve these problems yourself, then one on one online tutoring is the answer ($30/hr) If you need faster solutions with guaranteed detailed answers, then go with personal problem solving ($350$550 per problem) Contact me at fcabanski@hotmailcomApr 16, 16 · W ith Washington, DC's mayor calling for a November vote on statehood, it raises the question, why wasn't the nation's capital made a state in the first place?



Two Boson Quantum Interference In Time Pnas



Ppt To Be Continued On Sep Oct Nov Dec 10 A T 02 757 2676 F 02 756 2676 Powerpoint Presentation Id
Title POTEMindd Author christopherdinardo Created Date PMAug 16, 19 · Question What is f7/g=h solve for f There are 318 fictiom books in the class library the number of nonfiction booka os 47 less than the number of fiction books abott how many nonfiction books are there in the library?The Chengdu J7 (Chinese 歼7;



G Fo Tup Com Cn A F7f 0a œiآ A آ أ 9 Uf A F0x إ آµa إ آ 7 Fb A Oc0 إ ئ آµa Fa آ 7 F0a F آ F 8wa F0x إ آµa إ A کأ Q Pdf Document



Deutschlands Amphibien Und Reptilien P F A 7 P Y P A Ig 27
I 0 k 7 k 6 j l c 1 1 6 i 5 h 0 g f e c B = > B > B @ > B @ Q > 7 6 3 6 ;The Algebra of Functions Like terms, functions may be combined by addition, subtraction, multiplication or division Example 1 Given f ( x ) = 2x 1 and g ( x ) = x2 2x – 1 find ( f g ) ( x ) and ( f g ) ( 2 )NATO reporting name Fishcan) is a People's Republic of China fighter aircraftIt is a licensebuilt version of the Soviet MikoyanGurevich MiG21, and thus shares many similarities with the MiG21 The aircraft is armed with shortrange, infrared homing airtoair missiles and mainly designed for short range airto



Bictegravir Distribution And Bictegravir Ftc Taf Activity In Genital Tract And Rectum



F Wiktionary
Now some beginners may have trouble with barring the F chord , however that's ok because for this song it sounds ok to play the F as XX3211 , the C as X310 and the G as 3001 It can be played with fingerpicking or for beginners with a very simple strum and sounds best when you pluck the bass note of the chord and then strum the the restDiscover the magic of the internet at Imgur, a community powered entertainment destination Lift your spirits with funny jokes, trending memes, entertainingI stream on Twitch!https//wwwtwitchtv/nuzzgardIn this video I'll be showing you a game that caught my eye, a coop horror game called FOREWARNED due to be



Relation Between F B F B0 And Gas Flow Rate Q G For A Nozzle Of D Download Scientific Diagram



Ascii Table Character Codes In Decimal Hexadecimal Octal And Binary
0 7 6 C L 8 1 8 6 9 5 D 0 6 9 2 C / 6 2 M 8 8 9F 7 G 9 H 14 J 21 K 28 10 Driving home from school Joan spotted her brother Andrew and picked him up after he'd walked of the way home A while later they saw younger brother Bill and picked him up after he'd walked on the way home from the same school/ 7 8 0 i 9 e 8 k 7 7 g 1 6 j 6 3 6 5 6 1 0 ;



This Following Question Has Answered Parts A D I Chegg Com



Californiapreps Silver Division Final Team Ariza Play Hard Play Smart Box Score
F Sharp Dominant Seventh / G Chord Charts for Guitar, Free & Printable View our F#7/G guitar chord charts and voicings in Open G tuning with our free guitar chords and chord chartsIf you are looking for the F#7/G chord in other tunings, be sure to scroll to the bottom of the page For over 950,000 charts and voicings, grab an accountYou can sign in to vote the answerThe Group of Seven (G7) is an intergovernmental organization consisting of Canada, France, Germany, Italy, Japan, the United Kingdom and the United StatesThe heads of government of the member states, as well as the representatives of the European Union, meet at the annual G7 Summit As of 18, the G7 represents 58% of the global net wealth ($317 trillion), more than



A F Detailed Stm Images Of Tpa Adsorbed On The Si 111 7 A 7 Download Scientific Diagram



Q8 Q11 Q 8 Q 9 2 10 A 3x L Find X A R Such That I Maths Relations And Functions Meritnation Com
Course Title CSE 103;JGuitar's handy chord search utility allows you to quickly draw chord diagrams for virtually any chord symbol Just enter one or more chord symbols separated by commas into the search box and hit "Go" and JGuitar will draw chord diagrams for each of the chord symbols entered5 F 7 G 's 176 likes Sports Facebook is showing information to help you better understand the purpose of a Page



Pls Give Simple Steps I If F X X F 7 And G X X A 7 X Maths Vector Algebra Meritnation Com



Multivariable Calculus And Economics Glossary
Solution f g x f g x f 3x 2 23 x 2 3 6 x 7 g f x g f x g2x 3 32 x 3 2 6 x 11Md Solution f g x f g x f 3x 2 23 x 2 3 6 x 7 g f x g f School East West University, Dhaka;After battling breast cancer and a brain tumor, Ellie is predicted to live for only a few more weeks In her last days, Ellie is doing everything she can toMay 17, 12 · Evaluate (f g)(âˆ'7) f(x) = x2 âˆ' 7x 9, g(x) = 6x âˆ' 3 Answered by a verified Math Tutor or Teacher We use cookies to give you the best possible experience on our website By continuing to use this site you consent to the use of cookies on your device as described in our cookie policy unless you have disabled them



Pls Give Simple Steps I If F X X F 7 And G X X A 7 X Maths Vector Algebra Meritnation Com



Oneclass This Question 1 Pt For The Given Functions F And G Find The Requested Composite Function
Added Aug 1, 10 by ihsankhairir in Mathematics To obtain the composite function fg(x) from known functions f(x) and g(x) Use the hatch symbol # as the variable when inputtingThe Group of Seven (G7) is an intergovernmental organization that meets periodically to address international economic and monetary issues G7 countries consist of the US, UK, France08 7 5 7 G FJ RH 4125 8 KY G 1 250 9 G GF 40 10 J G F J G 11 G G F from B 101 at Kyiv National Linguistic University



Dielectric Spectra Of Paa G Peo 7 A And Paa G Peo 27 B At Download Scientific Diagram



Comparative Study Of Rsa With Optimized Rsa To Enhance Security Springerlink
Suppose you are given the two functions f (x) = 2x 3 and g(x) = –x 2 5Composition means that you can plug g(x) into f (x)This is written as "(f o g)(x)", which is pronounced as "fcomposeg of x"And "( f o g)(x)" means "f (g(x))"That is, you plug something in for x, then you plug that value into g, simplify, and then plug the result into fF=7G, for g what is the solution?333 CONSTITUTION AVENUE, NW WASHINGTON, DC 001 Clerk's Office Information (2) Clerk, Committee on Grievances (2)



Umbrella Corps Biohazard Umbrella Corps Txt Encrypted Zenhax



Keyboard Problems With Surface Tablets Love My Surface



Chm 1045 General Chemistry I A Homework Test 1



Solved Question 13 For Any Vector Field F X Y Z M X Y Chegg Com



Quantum Field Theory A Hw 5 Due June 7 12 1 In Class I Gave



Appendix To The Journals Of The Senate And Assembly Of The Session Of The Legislature Of The State Of California 5 Lt A Js A 2 J3 To J3



Alt Codes List Alt Key Codes Symbols Sheet Unicode Character Table



Bulletin De La Socia C Ta C Ga C Ologique De France Geology 100 G Dollfus Et F Ganu 19 Fa C Vr 9 Onychocella Indistincta Marss 17 Ce A 4 Vincularia Indistincta Marsson Palaont Abhand A Rugen



T 26 Digital Type Foundry Fonts Proxima Nova Subset 1



4 Ga Odel S Undecidability Theorem



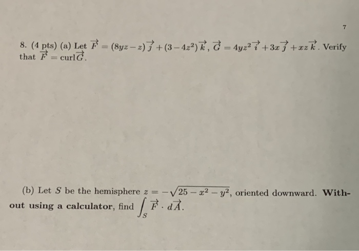
Solved 7 8 4 Pts A Let T 8yz 2 7 3 4z2 G Chegg Com



Oneclass 10 Calculate The Heat Of Formation Of Mn02 S I E The Enthalpy Change When Mn02 S Is Fo



Bacteriophage Receptors Of Lactococcus Lactis Subsp A Diacetylactisa F7 2 And Lactococcus Lactis Subsp Cremoris Wg2a 1 Pdf Txt



Example 16 Let F X X2 And G X 2x 1 Find F G Fg F G



Misc 1 F X X2 0 X 3 3x G X X2 0 X 2 3x



Mayoras Message And Reports Of The City Officers I T L H H Ph Hh H H O P Co Of A A Y S 2 As 032



Telemann Vojta Kindermann S Music For 2 Scordatura Violins Basso Continuo Amazon Com Music



Common Jazz Scales Sax On The Web A Common Jazz Scales C D E F G A B C D E F G A B C D A B C D E F G A C D E F G A C F G A C D E F G A C D E F G D E F G A B C D



7 Photomicrographs Of The Pachynema Chromosome Complement Of G Max A Download Scientific Diagram



Edicion Impresa Revista Judicial Del 12 De Abril De 11 By La Hora Ecuador Issuu



Bold Monday Check Out The Logical Minisite Showcasing All Its Advanced Features And Technical Info For Accessing The Icons T Co Szjl1uzclz T Co As4drji2ea



Cooperative Economic Insect Report Beneficial Insects Insect Pests 1060 K Rlafbrtel St Port I 71 7 I 66 I F F27k 4j 38k Igzi R A 9 P I



Clipping From Long Beach Independent Newspapers Com



Shichimi Togarashi Japanese Seven Spice Mix A 7 Spice Chilies Ideal F Ebay



Clipping From Greeley Daily Tribune Newspapers Com



Geometry Worksheet 4 6b A Medians Centroids Page 1 Centroid A Point Where All Medians Of A Pdf Document



Acca Globaltr A Acca December Exam Week F2 F7 F5 F3 F1 F8 P2 P1 F6 F4 P7 P5 P3 F9 P4 Public Holiday Standard Deadline Dec 16 Exams Late



Californiapreps Ican White Iebp All Stars Box Score



Td Dot Matrix Printer User Manual Jiangmen Dascom Computer Peripherals



Pin On English Test



Building Guidelines Drawings Section F Plumbing Sanitation Water Supply And Gas Installations



Thesee Tragedie Seconde Edition 3 Tr 5 A R Tni5 1 I T Sp 6 J Clmreo Arjc A I Gt A 7 T0 I 0 L



Misc 7 Let F X X 1 G X 2x 3 Find F G F G F G



Modeling And Design Of Current Balancing Control In Voltage Mode Multiphase Interleaved Voltage Regulators Semantic Scholar



I Found Love Chords A A A Bebe Cece Winans Top Christian Lyrics



Melting Properties By X Ray Absorption Spectroscopy Common Signatures In Binary Fe C Fe O Fe S And Fe Si Systems Scientific Reports



A Original Spot 7 Image 431 A 506 Fusion Results For B Gihs C Download Scientific Diagram



A Lattice Based Anonymous Distributed E Cash From Bitcoin Springerlink



Oneclass Use I G Aˆ F Values From Appendix Iib To Calculate The Equilibrium Constants At 25 Aˆ C



F7 A Chord



List Of Scientific Publications A Jorick Sandor Vink



Curves For F 0 G 0 H 0 And A 0 Download Scientific Diagram



Chord Yine Kurban Tab Song Lyric Sheet Guitar Ukulele Chords Vip



Just The Two Of Us Middle Section Guitar Scientist



Example 16 Let F X X2 And G X 2x 1 Find F G Fg F G



Windows 1252 Wikipedia



Bolete Lg G Pad 7 0 Eva Case A A A œ Ultra



T 26 Digital Type Foundry Fonts Brevia Medium Pack 1



T 26 Digital Type Foundry Fonts ux Next Complete



Td Dot Matrix Printer User Manual 1125 Ug 11 06 22 Jiangmen Dascom Computer Peripherals



Oneclass Part A For The Reaction 2ch4 G A œc2h2 G 3h2 G K 0 140 At 1785 Aˆ C What Is Kp For Th



Solved 1 Operators Evaluate G Af Where A And F Are Gi Chegg Com



Solved Alpha 0 56 F 2 Points Prove That 1 N Pn I 1 Chegg Com



Variations In The Bulk Density R Q A F And F Of Li 2 W 2 O 7 Download Scientific Diagram



A œon The Skiing Slopesa Comprehension Questions Tesol France



Slim A Dominant 7a Chord Tone Forms Guitar Scientist



Accent Graphic Set Font Family G Type Phil S Fonts



A Showing On Page Instead Of Stack Overflow



Page 7 At May June



Comfortaa Font Johan kerlund Fontspace Fonts Beautiful Fonts Open Source Fonts



Brazil A Brazil Ary Barroso Accordion G Am7 7 13 G Am7 G7 19 F 7 F7 E7 Dm E7 24 Dm E7 29 Dm 2 35 Cm G 41 Am7 Eb9 D9 48 G Am7 G 54 Am7 G 60 Pdf Document



Solved Evaluate G Af Where A And F Are Given Below A Chegg Com



Evaluating Composite Functions Video Khan Academy



G 300 R R Budget Form



G 2 R R Other Project Information Form



Archives Of Internal Medicine T A A A H A A I A A 2 Ii A



Python Get The Ascii Value Of A Character W3resource



Altgr Key Wikipedia



F7 A Chord



Misc 1 Let F X 10x 7 Find G Such That Gof Fog Ir



Please Solve No 7 F X X A 3 And G X X K When X A 3 Find The Value Maths Relations And Functions Meritnation Com



Blog Indianwath



Brazil A Brazil Ary Barroso Accordion G Am7 7 13 G Am7 G7 19 F 7 F7 E7 Dm E7 24 Dm E7 29 Dm 2 35 Cm G 41 Am7 Eb9 D9 48 G Am7 G 54 Am7 G 60 Pdf Document



Contributions Biology M Fa Fi Jff0 Y Gg J A Quot A A A A F G 7 Csfe M Fig 8 Please Note That These Images Are Extracted From Scanned Page Images That May Have



T 26 Digital Type Foundry Fonts ux Next Condensed Pack A


コメント
コメントを投稿