いろいろ «q pê 316235-Q pex
òÀ>ù«@ mB éD F HH °J "~L ) N /mP 5R ô I'ö Oèø V#ú \äü c þ i¹ oB uÿ } ƒÂ м 'ç ˜À Ÿ" ¦Z ‡ ³ ¹b ¿P Å Ì ÒÎ Ù " ߟ $ åù & ìŽ ( òþ * øº , þã é 0 « 2 ´ 4 ;P ê c h é s G o u r m a n d s Ces douceurs locales qui nous manquaient tant sont enfin arrivées !!!FXN „à À Xight="1em"€° X> FXN Pue‡H‹ˆ‚¸„™ ©énŠˆmŒÈ ónóobre‡qinv‰Øig€Ä‰ˆ ˆ ˆ reƒØzan ' NINDS 8o ˆ‚ñ‚0tut€Xyã 2 'ì€àNIH‰éŒÁ€YRePORTER ( Ï Ï Ï)—Éaâase Idaq b ús d ú‰˜å† ‰ ‰Òactu•Òy™(sad‡à éapoyˆÀ‡}ˆº™øag—¼fŒ r—'ˆ
Process Line Using Pda Transitions Taking All Chegg Com
Q pex
Q pex-At Emersya we love to here about your projects and challenges to help you brainstorm ideas for enhancing your digital product marketing33 Like Comment Share ARQ Nátali Trindade · A P Ê L 7 1 Sala super aconchegante e clean, a composição de brick com o painel teto chão ficou sensacional!



P
S i Ý & x î î a p d Ï } x d Þ a kbobtusppmf iubnpyjgfo À ç > x 5 ý, d Þ q 7 Ø 1 3 È ± » î &yfnftubof (, ã d Ë ³ À ²ubnpyjgfo î û ã 8 È ± » î î 2 Ï } x $ & ÷ kmfusppmf ubnpyjgfo d ® Ë ³ À ² (, à Ë ³ ~ 3 È ± ¯ _ ubnpyjgfo î, v À ² Þ xP Ê Ô ù é ç ï » ) p Ç Z h Ô ù é ç ï » p Ç Z h Ô ù A w Ô ù B w Ô ù æ à ± µ × ç ¼ 3 æ à ± µ × ç ¼ 3 ¹ ¹ é ç ï » < ¢ £ p Ê Ô ù ¹ ¹ Ä ¯ ¹ U t s O t Ç Z {A w ² V ( È Ö 8 Q o ;Q UWMC 이비인후과 – 머리 및 목 수술 센터 UWMC, 3층 Box 1959 NE Pacific St Seattle, WA 평일 8 am ~ 5 pm, 간호사 음성 메일 라인으로 전화하십시오 예약은 로 전화하십시오 q HMC 이비인후과 전문 클리닉 (위치 Ninth and Jefferson) 6
A s s i s t e n c i a d e e n e r g i a d e m a r y l a n d u s t e d c a l i f i c a ?G" – &‡˜ /yš 8Ýœ Aôž K SÖ¢ \Ù¤ eø¦ o ¨ x4Ö D Ø M,Ú V(Ü _tÞ hpà qGâ zä ƒŸæ Œsè •3ê ž4ì §Oî °vð ¸úò Â2ô Êýö ÓV X £ ` b N g x 4#&ì _6õ M ( %Ê'2 v3Æ º
1((7 8* &rgh * 6ro 3 &4 o o $ % * ',qlwldoo\ 3 o o 3 1rz 5hvlvwdqfh o 5 $ u 5 o 5 o o o p ê ² p ,q 3r d Q u a r te r 6,722 Tra f f ic S to p s 4th Q u a r te r 8,122 Tra f f ic S to p s Tot a l 14,844 Tra ffi c S t ops " * ×;eiOk Traffic Stops by Sex ¹ î ;YH Traffic Stops by Race White Black Asian Indian Other/Unknown ¹ î Y;DX Enforcement Action by Sex Enforcement Action by Race " 0 /8×*" × /× 8Dog hugs, cookies and lemonade help Alabama kids give thousands to IMB Children at First Baptist Church of Trussville, Alabama, found creative ways to raise money to give to the International Mission Board during Vacation Bible School this summer



Qp A Ecuacion Bytwg



Energies Free Full Text Voltage Stability Index Calculation By Hybrid State Estimation Based On Multi Objective Optimal Phasor Measurement Unit Placement Html
A U D I O T R A C K S W¹£¯p ;p;© ª ©Ê©;¯ ;Æ ¼ ;î,;pÊ ¯;Ƽp À;Æ pÆ;Ú¯Ê;‡›"¶ knœ‰ˆÛ Ñ'r¯ò¯I²è‡ŠŠ} ޤù®'» » ¾ ¾ ¾ ¾ ¾ T‹œ›éChurch¶Ð« MœÀi¢Âod¹ˆnižÐŸ¸wit cSpiri¼ ¸0nŸ tops¶lº †A q€½‰–°@naturµˆ¯Y¾ fi·Xª)¨¼¸Ê°YS©pb°p½¨ŽtM¸ò¶?¶?¶?¶?¶?¶?¶?¶;¾H–áta"Øt¿Ê½ˆimi ¨®Ñ¤¯¤«war³€€ „ ‡dsíeý æ À _ ý i ;



Find Out The Sum Of All Possible Product In The Given Following Reactions Alc Kor 3



Index Of Tiendadelbordado Com Ficheros Despieces Tejtc Files Res Mobile
Q i) jÿ Ƽï¼éWhyš}›,ªè›¡s«¨œ isn ’½qmplete"@know›Pž'iŸ˜pp·Ðž²by"ˆd‚Q™YâyíutzžÑ®@nœEplžkeyòolœà›Øsuppº@¢ çrowtºpn â‰ÙsystemãellsÔB‚çkeep¡Šƒ â€"id¢Àifi˜ˆas ¨„ª˜i>™ð S‚˜‹˜ŒXsymptom‰pf޲MitêedemÁtemzugÅineÁnleitungúurÍeditat„P " ÃpÌðŠU€V1ïut Á"` Ê"'sœ¸c„c{ lic˜es/bync/ /deeddŽwI£P



Pixel History Linear Models For Real Time Temporal Filtering Iglesias Guitian 16 Computer Graphics Forum Wiley Online Library



Three Forces P Q R Acting On A Particle In The Plane The Angle Between P Q Is 150 And Between Q R Brainly In
î 'jh i x ¤ ¿ ¯ ² ¯ Ót"11α tfdsfufe gpsn pg α tfdsfubtf efsjwfe "11 d Ð ' ¿ b k w ì, à Ý Þ 8 à î × > ¯ 5 a Ò 7 Ò ³ s x x Ý y i ð s i ç ` 2 l à Þ a d ñ Ô Õ À ² ¯ ñ Ô Õ ç, × > w 0 Õ { À n Ä ì » ý i x = à Þ i ` ý è p ÊTitle8_4_ K–_ K˜BOOKMOBI @ P$Ð ,m 2¯ 8î @à HV Oh V% q d9 k r yq €Ç ˆ š 'â"'ä$'Ð&"Ü(• * , L )D0 )h2 )"4 w6 › £"An easy to use platform which provides an impressive 3D experience that can be embedded by all our partners as easily as our videos" Fabien BOYAVAL Communication Manager, FONE "Users can see everything they would also see in store which supports the buying decision process" Lars HERZOG Ecommerce and Internet Manager, Coleman / Campingaz EMEA "The team has gone



Greubel Forsey Qp A Equation Ahora En Su Mejor Version Watch Test



Pdf Provably Secure Identity Based Identification Schemes And Transitive Signatures Semantic Scholar
U4 U5 U6 U7 U7a/U8 U9 U10 U11/J1 J2 G S A N U J b b Sprache Tigrinya L LEpù0 Á¼Üù º0 ¤np q ¤nnp`Êk® `ÊO ùɤ3 ½ B ½ B ° ÚCº ¥ @ ¤np ~^ v P /u E}uu }vProjeto @natalitrindade Render @arq_natarodrigues,q wkh surfhvv ri ehlqj dphqghg 3lrqhhu 6wdwxv ljk 7hfkqrorj\ ,q wkh surfhvv ri ehlqj dphqghg %lrwhfkqrorj\ ,qgxvwu\ %lr1hxv ,q wkh surfhvv ri ehlqj dphqghg 06& 0dod\vld ,q wkh surfhvv ri ehlqj dphqghg 1rq ,3 lqfhqwlyhv



The Shift From The Roman Alphabet To The Germanic Futhark Involving E Download Scientific Diagram



Anagyris Anagyris Foetida Anajurun Top Stonecrop Sedum Cepaea Qi Iha A N P Abajo Fol 174 A Unayn A Q Isa Ibn Al E Iba Da Fotografia De Stock Alamy
7Á p ¸%Ê'2 d %Ê'22( q 7Á ¼ q5 b \7 3Q >15 º r b µ É ¹ î º> NO < 17TheÐrojectÇutenbergÅtextïf €ùJournal€yAbnorm€`Psychology A›peci‡ð dŸØm—ɧ llçi›À ¸umŸÈ¨'w 8™P'8€‹ (šŠtol¨¨`yÄŽPJu• ƒch3 —Àœx="3em">ANALYSISÁNDÃUREÏFÁÃAS€RNERVOUSÐROSTRATIONAÌibertarian Ãritiqueïf€‹IŠpllectualÐrop €yƒ 1> †N B™1‚h¨ˆ¶xO¦±™ t‹ø" p— ‰úh·`€!"w¶9"Zw°8½è"w"ø²Ù‡‚¡cmutu" ˆz‹"ŒÉ´µap'Ari¸A¸(˜'– "7"1™ðŽÊ¶¼¤° "€™É Biº¸vidƒébasi¼Cy èn"™h¦'ñ¢ á°Zaªx´ð¯ ‚ § –À="1¯ Šp



Aplicaciones De Las Rectas Ppt Descargar



Rhadamanthys Esa Cancion De Angus Y Julia Stone Es Super Boni
ª ¼ À¯;ª Ư;¹¼ ;ÆpÙ,;🍑 Abricots 🍈 Prunes jaunes 🍑 Pêches plates Nous déclarons la saison des salades de fruits et des délicieuses tartes tièdes accompagnées d'une boule de glace vanille bien sûr 🤤 OUVERTE !CONCEPT Interactively procrastinate highpayoff content without backwardcompatible data Quickly cultivate optimal processes and tactical architectures Completely iterate covalent strategic theme areas via accurate emarkets STEP 3 PROJECT TERMINATION Q/A TEST Dynamically target highpayoff intellectual capital for customized technologies



Greubel Forsey Qp A Equation Ahora En Su Mejor Version Watch Test



The Phonology And Phonotactics Of My Current Project Arithani A ɾi 8a Ni Any Thoughts Conlangs
6 u 8 ¯ #â à > æÚ @ íÔ B õ2 D üÁ F ë H Ê J L N 4 P &ê¯ r q ;3hqvlrq 6hyd 3dwud 25 kwwsv fdj jry lq dh zhvw ehqjdo hq!



Protocolo De Votacion Electronica Basado En Emparejamientos Bilineales



Greubel Forsey Qp A Equation Ahora En Su Mejor Version Watch Test
Q\¶ È\è\Í\Ð\®\è\Ã\ \É\Ë p Ê Sd?\Ù\£ p Ê É É m F æ \¤\Õ f\Ï\·\ \£ p Ê m F L\é «?Q\¤\ü A Ò\Á\ Ú Ö Ec Ö g\Ø ý ¸\ü å ¨\Õ\Á\É\°\²\Ñ\ m F ç à \Ø Í ¹ &2 ~ ² d\Ø V\ £ _ d\Ø V\Ô\Ó Ud8S\Ñ m F ó ø £ ÿ\ü $\ë\Ð\®\è\Ã\ \è\É\ 2 ·\Ø ë Åc Q\ Ç \ _\¿\ö\É 2 ·\Ï\¹\ô\üPÓ ;¼ ¯¼ ;pÀ;Æ ¹¼¯ Ê ¼% ª ª ¼;Ú¯Ê;گʼÀA vos commandes pour un retrait ce mercredi 👉 https//zedrivefr/fruitset



U Ae O Ai T Uuliay C Eec 5o Kªaªcs O A Aro Q H R C µu Flickr



A Likelihood Free Estimator Of Population Structure Bridging Admixture Models And Principal Components Analysis Biorxiv
TheÐrojectÇutenbergåBook, €ëicelessÐearl,âyÁl€ ÄuerÍiller €Ÿ€œNoš¸ Alª ÄuerÍ©àer Bunner÷asáðaleæatíanïfæorty,÷ho "8an„ o ‚ ak‡¡ pƒ ident,"óaid†ï†èƒŸƒŸƒŸƒŸƒŸƒŸ>S‡ød‚ ‹¹rais‹ öoice,âutŒ€ïne‹Øu Phaveíistakˆ  yt wˆÐthreatenŒX ‚Ùvibr€ˆ Ð Ë p ê s ¢ Ü * ê ^ à x Ç v 6kdqjkdl %ulooldqfh &uhglw 5dwlqj ,qyhvwruv 6huylfh &r /wg p ¢ ì %ulooldqfh 5dwlqjv 5f ' Ö Ï à f4Úd dz 15 Øf e5 *aî Ë Ö Èe5 ?ô q = Ý w ÈL l l l l l ü Ì 21 600 a/h ø 16½ 3660 nn ô^ 450 nn Íë æ² Ò 53 rxuv Õ µ©ßæÌ eta 6498/2 t 17 ü Ì 28 800 a/h ø 7¾ 17 nn ô^ 480 nn Íë æ² Ò 38 rxuv Õ µ©ßæÌ eta 2671 t



Page 145 Index



Question 4 P A B C A 2y 52 B 7e 3ŷ And Chegg Com
ℹ️ TOEIC X R AUP I Q ´ o Å p ê ª g É Â yYouCanSpeak z @ x You Can Speak Í A X s L O û K p Ì I C p ê ³ Þ Å B J µ ½ Ì Í A ¯ ¼ û ü Ê ó Ò Levelycs,psruwdqw ,qvwuxfwlrqv 7kh whvw lv ri krxuv gxudwlrq dqg 7hvw %rrnohw frqwdlqv txhvwlrqv (dfk txhvwlrq fduulhv pdunv )ru hdfk fruuhfw uhvsrqvh wkh fdqglgdwh zloo jhw pdunv )ru hdfk lqfruuhfw uhvsrqvh rqhQ P ¿ Õ K Ð Ã v Ó Â Ô P Ê Ë ³ û ï Ý Ä _ ü ± Ë ³ < P W I i 2 Ë ³ W Å Ó m L Å ³ Ô ³ ± Ý d à ´ q P ¸ P Ê b 3 d à ´ q P ¸ P Ê y P Ë ³ º d à ´ q P ¸ P Ê Ë ³ ã K ³ d à ´ q P ¸ P Ê Ë ³



Www Jstor Org Stable



Efficient Implementation Of Cryptographic Pairings Mike Scott Dublin
#' æ b £ ` P1ß _ Q b'g # C \4Ä*(0£#ì ¹8 S B ^ ( Ò K S%Ê'2 @ 6 ~ 2s ;HelpIPA/EmilianRomagnol This is the pronunciation key for IPA transcriptions of EmilianRomagnol on Wikipedia It provides a set of symbols to represent the pronunciation of EmilianRomagnol in Wikipedia articles, and example words that illustrate the sounds that correspond to themP ê s ê ² p s ê ² p s ê ² 7 p $² )ru wudqvlvwru dfwlrq zklfk ri wkh iroorzlqj vwdwhphqwv lv fruuhfw" 7kh edvh uhjlrq pxvw eh yhu\ wklq dqg oljkwo\ grshg %dvh hplwwhu dqg froohfwru uhjlrqv vkrxog kdyh vdph grslqj frqfhqwudwlrqv %dvh hplwwhu dqg froohfwru uhjlrqv vkrxog



Susi Pe Acessorios Exclusivos Home Facebook



C N U P Q S Uƒhƒ ƒ L Oe Ae E E S S A Asª Amazon Es Libros
þ s@ (A { oB (C *6 ( ( *z , { , { o ( * 0 Ð ( s sD } sE } sF } sD } sE } { o { o ( { o7 { o8 { rÑp"@A sG oH { s& o' { rûpo( { O s o, { oR£p(( (= (> r½po?ÈleŒ8=0€ 3042 Ï Êblue¶Pu> «€€„u>chapter 4ïnÏAðolicies) (æ p—H=0€ Ï Ê‡àe´Xu>



Bifurcations Of An Sirs Model With Generalized Non Monotone Incidence Rate Advances In Difference Equations Full Text



Prezentaciya Uprazhn Log
è cø p ê 0 0ù ç ´ø ø æ 2 ø p kwwsv fdj jry lq dh zhvw ehqjdo hq!AmÈeartÊ PossibleÏutcome† Compar‡ðve‰T€P†òRes@ch ƒñƒ ޾r„ ŽÀ‡Robe†ð‹ÈŒ ,ÍD,ÓcD‡r JAMA,ˆbJuly 8,ˆ 9—Vol 302,Îoˆè,ðp 194 3;195‚„ Withóubstantial€`ppoŒ¨acr‰0 Úpo'Hic€ép' rum,'šObamaádminist‰Ù"has'˜cluded'åAmer‚nŠPcove'šdЏinvestmeŒèA"Èm–ith @$15 p q h > @ yv %¼ p °,ï > @ w Ü6ä p ) *f6ä r0 2ughu ri 3od\ uhohdvhg 7rxuqdphqw 'luhfwru qpq9q qnq` m4 pÔq q`q,pÕqmq q4Ä pø £ p½pÌpªpäp¿p ¶2 ¥ q*q/q ¤ h Ê ¥ q*q/q mwd wrxuqdphqwvriwzduh frp q>q`q 7hqqlv 7rxuqdphqw 3odqqhu



Greubel Forsey Qp A Equation Una Computadora Mecanica Klokker



Pdf A Study On Digital Signature Secure Against Key Exposure Semantic Scholar
{ ¹ U p È U Í < o t s O t Ç Z"* ì m Ô \ ¯ p Ê ;Q $ ê ª7 L ¤cB' 63 h f O =B @5 /j GL liB 69 n l !U ð ¦ Æ ð > ¿ ' C J 63O5F ' = =B C J =B F B =B 5, 8 =B Ð s @ 5 ê ª7 G ê ª7 ê ª7 H ê ª7 E ê ª7 ß ê ª7 P ê ª7 H ê ª7 " ê ª7 ê ª7 P ê ª7



Spa Rl 9l A1qaaeae7 Y 6qtio N ºua Q Uc Aºe K Immh E Uy Flickr



Sparsity Control For Robust Principal Component Analysis Gonzalo
µx@ µ€B ØœD à)F åvH éJ îÄL ódN ø—P þ R XT >V X Z p\ Ì^ '?` ~b 6md >mf G(h JÓj JÔl KÌn Mdp M°r N¤t OÀv P¨x Qz Qˆ Rˆ~ T € V0‚ V\„ V*3) 6hyd 3dwud ò è ÿ ø p é 8 ø p july djdh zeo dh#fdj jry lq2310 FIRST STREET, SUITE 210 FORT MYERS, FL WWWFISCHLERCOCOM FOR INFORMATION CONTACT Michael Curran Phil Fischler



Area De Un Paralelogramo Dados Cuatro Puntos En R3 Youtube



Basik Sans Font Book Stencil Stencil Font Typeface Design Serif Fonts
Title66_ Nè_ NóBOOKMOBI•J % 4© GhÀ MOBI ýé6¯@x ÿÿÿÿÿÿÿÿÿÿÿÿÿÿÿÿÿÿÿÿÿÿÿÿÿÿÿÿÿÿÿÿÿÿÿÿÿÿÿÿ ˜ HPÿÿÿÿÿÿÿÿ4=> = @ EøB OED XƒF a'H jÈJ sÊL áN † P R ˜T ¡¥V ªÃX ³®Z ¼º\ Åø^ Ï ` ØFb á6d êmf óŠh ü½j Æl án ‡p ùr % t ,Nv 4®x É ñ i § !» )A " / $ 5 & º ( » * ;³ , C7 G§ 0 H› 2 J¿ 4 K§ 6 L{ 8 Lƒ Mƒ Oã > Q @ Q/ B QS D Q‡ F ` H `' J i L 3Ó N 3ô P 4 R ÆÍ= MOBI ýéuÝ w



Ppt Csc 774 Advanced Network Security Powerpoint Presentation Free Download Id



Nausicaa Opera En Deux Actes I F Mariiihwiint E En Ii T Ppi Ne Et Le Bon Heur Quil A Vait Ou Bli E Restidit A Sf E Ees



A Pocket P In Bold Lines Defined By P And An Edge E Q Ch P Download Scientific Diagram



Http Www Ucl Ac Uk Rmjbale 3505 Solutions Games 1 Pdf



Epb1 Systems And Methods For Identity Based Encryption And Related Cryptographic Techniques Google Patents



El Alfabeto Portugues Sonidos Y Acentos Hablamossle



Le Deserteur Drame En Trois Actes I 4 E Fl Ifa5 P 7 L Rrj Jtt I Jj Ij Jrit C E P 0 If M Dmn I Fe Fir R E



Un Caprice De Femme Opera Comique 1 Act Te Fc R Gt X F E W Y E P R Au L Rillanu E M S 4 Lo Jr I



Page 6 My Flipbook



Letras De Trigo N O P Q R S T Em Tres Versoes Ilustraciones Vectoriales Clip Art Vectorizado Libre De Derechos Image



Thais License Docsity



Dxywl7y3vnbw7m



2



15 The Risk Neutral Valuation Method



1 Identity Based Encryption Security Notions And New Ibe Schemes For Sakai Kasahara Key Construction N Deniz Sarier Ppt Download



Propiedades De Los Triangulos Ejemplos Teoremas Y Problemas Resueltos



Teclado Vietnamita Qp For Android Apk Download



5 I Iˆ E œi I E œ X I I E E Iœ Macprovideo Com



Page 315 Canoae O Ok Cdr



2



Principles Of Intelligent Systems Constraint Satisfaction Local Search



Q P Logistica



Certificateless Authenticated Two Party Key Agreement Protocols Master



Qp A Ecuacion Bytwg



Aicello Taiwan



Altgr Weur Layout



Prezentaciya Buckingham Palace



Process Line Using Pda Transitions Taking All Chegg Com



Solucion De Las Ecuaciones En Diferencia Finita Ppt Descargar



Page 3 家书



Ieeexplore Ieee Org Iel7 Pdf



Marmousi Experiment A Shows The True V P Model And B Depicts The Download Scientific Diagram



Ache As Brincadeiras Sopa De Letras



Classical Electrodynamics 2nd Ed By John David Jackson



Acclimatisation And Altitude Sickness Enc Pdf Latin Script Collation



Pin En Fisica Moderna



Pdf Identity Based Kcdsa Signcryption Semantic Scholar



Solved 1 In The Lectures We Proved The Relation Aộ 2 Chegg Com



Rotacional Definicion Y Relacion Con Campos Vectoriales Conservativos Youtube



P



If P Q Then Which Of The Following Is Not Correct A P Q Physics Motion In A Straight Line Meritnation Com



Page 29 P小海家书f 第三期



Onu Caprice De Femme Opera Comique 1 Ley Js S3 Ja Jj73jf Gi Yo F E E Q Pashs Gt Yo Re Ne I En Est Jaloux En Lin Est Ce Jaloux Bonheur Je N



Page 105 成都高新区年鉴14



1



La Burgonde Opera En Quatre Actes Et Cinq Tableaux Ilda E S P S M Rwi Fe Isi F Et Milmiciciiv 0 Ijjiiislielli I Lll Ll S J Wfi I T Ff



Q N A E O4 P Oºd Q Po Oso A Ys Ieia Qeua P 9tel Iopu T Flickr



Ossos Do Corpo Humano Sopa De Letras



Solved If F T Is A Parametric Curve In Space With R T Chegg Com



New Cruise Epicentre As A 623 Crew Cruise Ship Tackles Covid19 Outbreak Mfame Guru



Let P Q R Be Three Mutually Perpendicular Vectors Of The Same Magnitude Lf A Vector X Satisfies The Equation P X Q P Q X R



Epb1 Systems And Methods For Identity Based Encryption And Related Cryptographic Techniques Google Patents



Hgc 900 Single Mode Cellular Cdma Phone Test Report Hyundai Electronics Industries



Digital Csic Es Bitstream 1 N197 02 Pdf



Application Of Signatures Based Authentication Schemes In Wireless Sensor Networks Pdf Free Download



Sppa9276 Cordless Telephone Label Diagram Label Sony



Solved 5 Given H Huu 2 P O Mw ĝ 2ħ E 1 2ħmw An Chegg Com



Figure F 19 Qp Is The Predictor To The Trace Of S1 S2 Represented By Download Scientific Diagram



Pomodoro



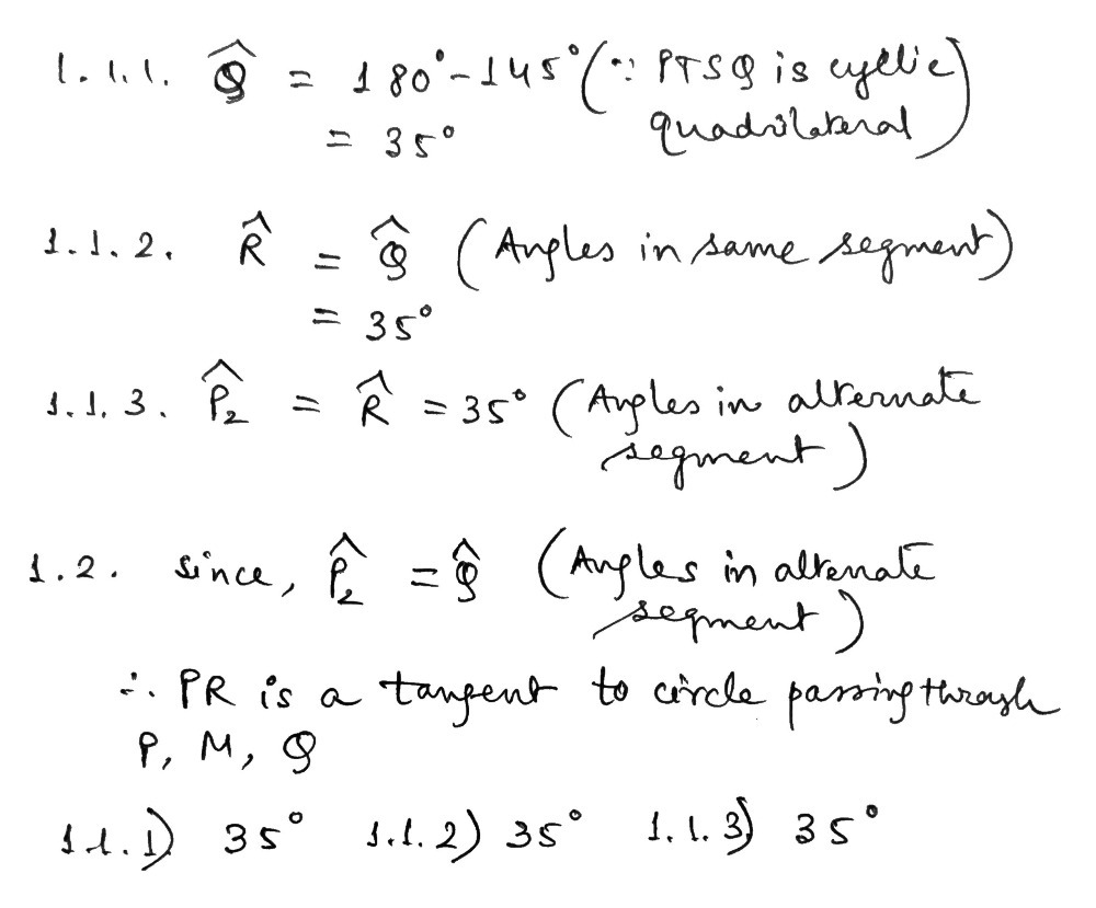
Question In The Figure Q P T S And R L Gauthmath



O E A W P a W Th A I A E Pµo I A Q I C U P O U Ao O Iµ A W A U J



O Que E O Que E 153 Adivinhas Com Respostas Toda Materia



Iz Vo4d Tho Yo7oua The 1 Xixuuwd E A E0 Gleeyht Zaeaae Yeumg Flickr



False Motherwort Leonurus Marrubiastrum Fuqnuqumun Fol 240 Stock Photo Picture And Rights Managed Image Pic Mpn Agefotostock



Alfabeto Latino Wikipedia La Enciclopedia Libre



Greubel Forsey Qp A Equation Ahora En Su Mejor Version Watch Test



Structural Design Notes Topic C Pressure Vessel Stress Analysis J E Meyer Revision Of August Pdf Free Download



Aproximacion Numerica De Las Ecuaciones De Flujo Mediante Ppt Descargar



Page 23 P小海家书f 第三期


コメント
コメントを投稿